栏目分类体育游戏app平台但具有输出电压反相的污点-开云平台皇马赞助商(中国)官方入口
你的位置:开云平台皇马赞助商(中国)官方入口 > 新闻动态 >体育游戏app平台但具有输出电压反相的污点-开云平台皇马赞助商(中国)官方入口
发布日期:2026-02-10 06:09 点击次数:88今天给专家共享的是:12 种开关形式电源拓扑(电路图+计较公式+应用)
本文援用地址:
话未几说,胜利上图,这里分为非阻隔式和阻隔式两种:

非阻隔式拓扑回顾
阻隔式拓扑回顾底下是对于如何遴荐开关形式电源拓扑的简便回顾:
如何遴荐开关形式电源拓扑回顾底下详备先容每个开关形式电源拓扑。
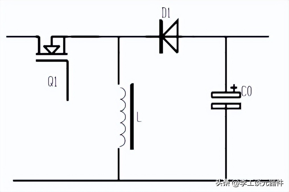
1、Buck
BUCK是最简便最常见的拓扑之一,突出适协当作用于降压的DC-DC转机器。
不仅不错终了高成果,也不错达到高功率。
BUCK转机器的污点是输入电流长久不承接,从而导致高EMI。不外EMI问题不错通过片式磁珠、共模扼流圈和滤波器扼流圈等滤波器组件经管。
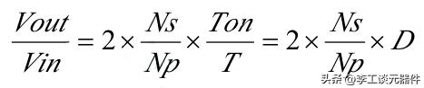
Buck2、Buck电路公式
Buck1)输入输出电压关系
输入输出电压关系2)通过晶体管开关的电流
通过晶体管开关的电流3)晶体管开关中的电压
晶体管开关中的电压4)通过二极管的电流
通过二极管的电流5)二极管中的反向电压
二极管中的反向电压1、Boost
与Buck拓扑相似,Boost也短长阻隔的,Boost拓扑会升高电压。
由于Boost 拓扑在承接导通形式下使命时会以承接、均匀的神色收受电流,因此它是功率身分改良电路的理念念遴荐。
Boost2、Boost计较公式
Boost计较公式1)输入输出电压关系
输入输出电压关系2)通过晶体管开关的电流
通过晶体管开关的电流3)晶体管开关中的电压
晶体管开关中的电压4)通过二极管的电流
通过二极管的电流5)二极管中的反向电压
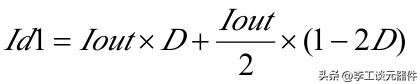
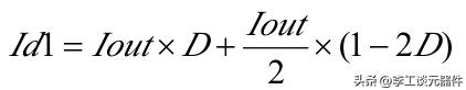
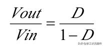
二极管中的反向电压1、Buck-Boost
Buck -Boost 不错升高大略镌汰电压。这种拓扑结构在电板供电的应用中突出有用,其中输入电压随时辰变化,但具有输出电压反相的污点。
Buck -Boost 拓扑的另一个污点是开关莫得接地,这么的话驱动电路会变得比较艰辛。仅使用单个电感就不错平凡赢得Buck -Boost 电感和EMI组件。
Buck-Boost2、Buck-Boost计较公式
Buck-Boost1)输入输出电压关系
输入输出电压关系2)通过晶体管开关的电流
通过晶体管开关的电流3)晶体管开关中的电压
晶体管开关中的电压4)通过二极管的电流
通过二极管的电流5)二极管中的反向电压
二极管中的反向电压1、Sepic
不心爱相对于输入电压的反相输出电压,不错议论单端低级电感转机器 (SEPIC)。
单端低级电感转机器 (SEPIC) 是一种 DC/DC 转机器拓扑,可把柄从高于输出电压到低于输出电压的变化的输入电压提供正稳压输出电压。
Sepic是一种莫得反向电压的降压/升压转机器拓扑。
SEPIC 转机器需要一个极度的电感和一个隔直电容才略驱动,但承接的输入电流销耗成心于减少电磁烦躁 (EMI)。
SEPIC 拓扑的一个污点需要更大的占大地积。
Sepic2、Sepic计较公式
Sepic1)输入输出电压关系
输入输出电压关系2)通过晶体管开关的电流
通过晶体管开关的电流3)晶体管开关中的电压
晶体管开关中的电压4)通过二极管的电流
通过二极管的电流5)二极管中的反向电压
二极管中的反向电压除了两个电感以外,SEPIC 和 Ćuk 拓扑齐使用电容来存储能量。两个电感不错是单独的电感,也不错是耦合电感体式的单个组件。
这两种拓扑与降压-升压拓扑相似,齐不错升压或降压输入电压,突出允洽电板应用。
SEPIC 相对于 Ćuk 和降压-升压转机工具有极度的上风,因为它的输出短长反相的。SEPIC/Ćuk 拓扑的一个优点是电容不错提供一些有限的阻隔。耦合电感可用于 SEPIC 和 Ćuk 拓扑,况且可随时提供定制电感来餍足特殊需求。
Ćuk1、反激式
反激式骨子上是降压-升压拓扑,通过使用变压器当作存储电感来阻隔。变压器不仅提供阻隔,而且通过转换匝数比,不错退换输出电压。
由于使用了变压器,因此不错进行多个输出。
反激式是低功耗应用中最简便、最常见的拓扑,突出允洽高输出电压,但峰值电流突出高,不太允洽10A以上的输出电流。
反激式相对于其他阻隔拓扑的一个优点是,其中很多拓扑需要单独的存储电感。由于反激式变压器现实上是存储电感,因此不需要单独的电感。
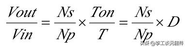
反激式2、反激式计较公式
反激式1)输入输出电压关系
输入输出电压关系2)通过晶体管开关的电流
通过晶体管开关的电流3)晶体管开关中的电压
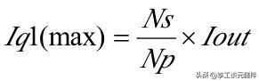
晶体管开关中的电压4)通过二极管的电流
通过二极管的电流5)二极管中的反向电压
二极管中的反向电压1、正激式
正激式转机器现实上是一个变压器阻隔降压转机器。正激转机器最允洽低功耗应用。
诚然成果和反激式相等,但污点是输出端有一个极度的电感,不太合适高电压输出。当需要高输出电流时,正激转机器与反激转机更有上风。
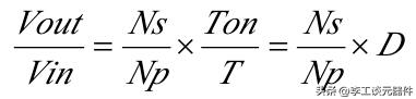
正激式2、正激式计较公式
正激式1)输入输出电压关系
输入输出电压关系2)通过晶体管开关的电流
通过晶体管开关的电流3)晶体管开关中的电压
晶体管开关中的电压4)通过二极管的电流
通过二极管的电流5)二极管中的反向电压
二极管中的反向电压1、双晶体管正激式
双晶体管拓扑是一种突出可靠的绸缪,不会因电压尖峰而对晶体管变成压力。
由于输入和输出之间存在阻隔,因此双晶体管正激转机器属于低级开关转机器系列。适用于高达数百瓦的输出功率,两个晶体管由脉宽调制领域电压同期导通和截止。
双晶体管正激式2、双晶体管正激式计较公式
双晶体管正激式1)输入输出电压关系
输入输出电压关系2)通过晶体管开关的电流
通过晶体管开关的电流3)晶体管开关中的电压
晶体管开关中的电压4)通过二极管的电流
通过二极管的电流5)二极管中的反向电压

二极管中的反向电压
主动钳位正激式1)输入输出电压关系
输入输出电压关系2)通过晶体管开关的电流
通过晶体管开关的电流3)晶体管开关中的电压
晶体管开关中的电压4)通过二极管的电流
通过二极管的电流5)二极管中的反向电压
二极管中的反向电压1、半桥
半桥拓扑与推挽拓扑相似,不错很好地延伸到更高的功率级别,况且基于正激转机器拓扑。若是两个开关同期通达,则该拓扑也存在交流的纵贯电流问题。为了领域这极少,每个开关的导通时辰之间需要有一个死区时辰。这将占空比截至在 45% 驾驭。成心的是,半桥拓扑开关应力等于输入电压,使其更允洽 250VAC 和 PFC 应用。
另一方面,输出电流比推挽拓扑高得多,因此不太允洽高电流输出。
半桥2、半桥计较公式

1)输入输出电压关系
输入输出电压关系2)通过晶体管开关的电流
通过晶体管开关的电流3)晶体管开关中的电压
晶体管开关中的电压4)通过二极管的电流
通过二极管的电流5)二极管中的反向电压
二极管中的反向电压1、Push-Pull
推挽式拓扑骨子上是一个正向转机器,具有2个低级绕组,用于创建双驱动绕组,比反激式更能有用地诓骗变压器的中枢。
另一方面,一次仅使用一半的铜。从而权贵加多雷同尺寸变压器的铜损。对于雷同的功率水平,与正激转机器比拟,推挽式转机具有更小的滤波器。
联系词,推挽式转机器相对于反激式和正激式转机器的上风在于它们不错延伸到更高的功率。推挽式转机器的开关领域可能很艰辛,因为必须防备不要同期通达两个开关。这么作念会在变压器中产生止境且相背的磁通,从而导致低阻抗和通过开关的突出大的纵贯电流,从而可能损坏开关。
推挽式拓扑的另一个污点是开关应力突出高 (2∙VIN),这使得该拓扑不允洽 250VAC 和 PFC 应用。
Push-Pull2、Push-Pull计较公式
Push-Pull1)输入输出电压关系
输入输出电压关系2)通过晶体管开关的电流
通过晶体管开关的电流3)晶体管开关中的电压
晶体管开关中的电压4)通过二极管的电流
通过二极管的电流5)二极管中的反向电压
二极管中的反向电压H桥由四个开关构成,用于领域流向负载的电流,这现实上仅仅用开关领域电流场地的一种神色。
比如说,要回转电机,电源必须回转,这便是 H 桥的作用,H 桥电路最典型的应用亦然电机领域。
有多种不同的 H 桥绸缪,现实电路将取决于晶体管的数目、布局类型、领域线的数目、电桥的电压和很多其他身分。
使用 H 桥时必须突出防备的一件事是不要变成短路。若是发生短路体育游戏app平台,详情会点火 H 桥。
声明:新浪网独家稿件,未经授权回绝转载。 -->
